大众网记者 杨淑淇 青岛报道惠盈财富
近日,青岛市住房和城乡建设局发布公告,对和达·智慧生态城配售型保障性住房项目的选房入围名单及计分排序结果进行公示。
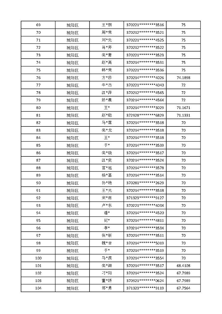
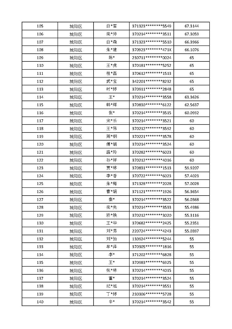
根据《关于和达·智慧生态城配售型保障性住房购买需求征集有关事宜的公告》,申请人已通过“青岛市配售型保障性住房轮候服务系统”完成需求征集和资格审核。经审核,共有286人符合条件入围选房,现将《和达·智慧生态城配售型保障性住房项目选房入围名单及计分排序(选房顺序)》予以公示,公示期为5日。
公示期内对公示名单有异议的,可拨打市级监督电话0532-82681116反映。我们将根据反映情况,对名单进行动态调整。公示期满后由青岛市市中公证处依法对选房名单及计分排序(选房顺序)结果实施封存,并于正式选房时启用。后续选房具体安排以选房公告为准。
附件:1.和达·智慧生态城配售型保障性住房项目选房入围惠盈财富
名单及计分排序(供地区域优先入围名单)
2.和达·智慧生态城配售型保障性住房项目选房入围
名单及计分排序(其他区市入围名单)









股般宝配资提示:文章来自网络,不代表本站观点。